In Situ Forecasting Paper Published in npj Comp Mater

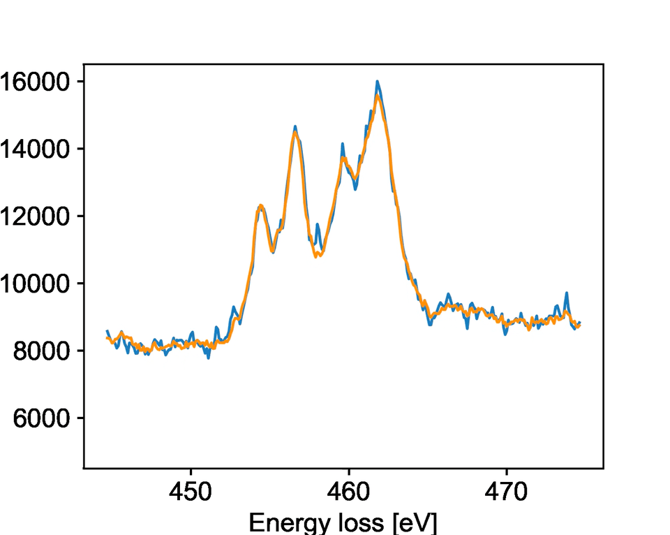
What if we could predict the future of a chemical reaction to guide autonomous experimentation? In our new study in npj Computational Materials, we create a long short-term memory model (LSTM) called EELSTM to predict future states of an order-disorder reaction. We believe this is the first such forecasting model applied to in situ electron energy loss spectroscopy, representing a powerful new approach for self-driving instrumentation.

This work was done by my excellent UW-DIRECT students, including Nicholas Lewis, Yicheng Jin, Xiuyu Tang, and Vidit Shah, with guidance from PNNL staff Christina Doty, bethany matthews, and Sarah Akers.

From the abstract:

Forecasting models are a central part of many control systems, where high-consequence decisions must be made on long latency control variables. These models are particularly relevant for emerging artificial intelligence (AI)-guided instrumentation, in which prescriptive knowledge is needed to guide autonomous decision-making. Here we describe the implementation of a long short- term memory model (LSTM) for forecasting in situ electron energy loss spectroscopy (EELS) data, one of the richest analytical probes of materials and chemical systems. We describe key considerations for data collection, preprocessing, training, validation, and benchmarking, showing how this approach can yield powerful predictive insight into order-disorder phase transitions. Finally, we comment on how such a model may integrate with emerging AI-guided instrumentation for powerful high-speed experimentation.

To download the manuscript directly, click here.

To visit the publisher’s website, click here.

To download the code, click here.

Previous
Previous

LSNFO OER Paper Published in Nanoscale

Next
Next

AI/ML Featured on Cover of MRS Bulletin